ISSN 0300-9092 (Print)
ISSN 2412-5679 (Online)

ВУЛЬВОВАГИНАЛЬНЫЕ ИНФЕКЦИИ И БЕРЕМЕННОСТЬ

Дегтярева Е.И., Довлетханова Э.Р., Прилепская В.Н.. Абакарова П.Р., Межевитинова Е.А.

Неспецифические (аэробные) вульвовагиниты – инфекционно-воспалительные заболевания, вызванные действием условно-патогенных микроорганизмов (кишечной палочки, стрептококков, стафилококков, Gardnerella vaginalis и др.).

Специфические вульвовагиниты могут быть обусловлены инфекциями, передающимися половым путем (ИППП; хламидиозом, микоплазмозом, трихомониазом, вирусными заболеваниями и др.), а также наличием дрожжеподобных грибов рода Candida.

Коды по МКБ-10

N76 Другие воспалительные заболевания влагалища и вульвы.

Исключено: старческий (атрофический) вагинит (N95.2).

  • N76.0 Острый вагинит.
  • N76.1 Подострый и хронический вагинит.
  • N77.1 Вагинит, вульвит и вульвовагинит при инфекционных и паразитарных болезнях, классифицированных в других рубриках.

34-1.jpg (108 KB)

35-1.jpg (326 KB)

Урогенитальный трихомоноз

Трихомоноз – одно из наиболее распространенных заболеваний мочеполовой системы, занимает первое место среди ИППП.

Коды по МКБ-10

  • А59 Трихомониаз.
  • А59.0. Урогенитальный трихомониаз.

Бели (вагинальные), вызванные Trichomonas (vaginalis).

  • А59.8 Трихомониаз других локализаций.
  • А59.9 Трихомониаз неуточненный.
  • N76.1 Подострый и хронический вагинит

36-1.jpg (350 KB)

37-1.jpg (441 KB)

Бактериальный вагиноз (БВ)

Код по МКБ-10

N89.8 (Другие невоспалительные болезни влагалища)

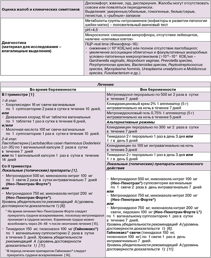
38-1.jpg (464 KB)

39-1.jpg (193 KB)

  • Эффективность системной и топической терапии равноценна.
  • Согласно международным и национальным клиническим руководствам, первой линией терапии вульвовагинальных инфекций рекомендуются препараты с оптимальным профилем эффективности и переносимости.
  • Во время беременности препаратами выбора являются топические средства.

Список литературы

1. Клинические рекомендации по диагностике и лечению заболеваний, сопровождающихся патологическими выделениями из половых путей (издание 2-е, исправленное). М., 2019.

2. Серов В.Н., Сухих Г.Т., Прилепская В.Н., Радзинский В.Е., ред. Руководство по амбулаторно-поликлинической помощи в акушерстве и гинекологии. 3-е издание, переработанное и дополненное. М., 2017: 545-50.

3. Workowski K.A., Kimberly A. Sexually Transmitted Diseases treatment Guidelines, 2015. MMWR Recomm Rep. 2015; 64(RR-03): 1-137.

4. Савельева Г.М., Сухих Г.Т., Серов В.Н., Радзинский В.Е., Манухин И.Б., ред. Гинекология. Национальное руководство. 2-е издание, переработанное и дополненное. М., 2017: 429-36.

5. Sherrard J., Wilson J., Donders G., Mendling W., Jensen J.S. 2018 European (IUSTI/WHO) International Union against sexually transmitted infections (IUSTI) World Health Organisation (WHO) guideline on the management of vaginal discharge. Int J STD AIDS. 2018; 29(13): 1258-72. https://dx.doi. org/10.1177/0956462418785451.

6. Громова О.А., Баранов И.И., Тапильская Н.И., Савичева А.М., Прилепская В.Н., Межевитинова Е.А., Пивень Л.А., Калачева А.Г., Торшин И.Ю. Клинические исследования препаратов, содержащих метронидазол/миконазол. Вопросы гинекологии, акушерства и перинатологии. 2020; 19 (1).

7. CDC. Sexually Transmitted Diseases (STDs).2015 STD Treatment Guidelines. Diseases Characterized by Vaginal Discharge. https://www.cdc.gov/std/tg2015/ vaginal-discharge.htm

8. Brocklehurst P., Gordon A., Heatley E. et al. Antibiotics for treating bacterial vaginosis in pregnancy. Cochrane Database Syst Rev. 2013;1:CD000262. https://dx.doi. org/10.1002/14651858.CD000262.pub4.

9. Carey J.C., Klebanoff M.A., Hauth J.C. et al. Metronidazole to prevent preterm delivery in pregnant women with asymptomatic bacterial vaginosis. National Institute of Child Health and Human Development Network of Maternal-Fetal Medicine Units. Engl J Med. 2000; 342: 534-40. https://dx.doi.org/10.1056/ NEJM200002243420802.

10. McClelland R.S., Balkus J.E., Lee J., Omu Anzala O., Kimani J. et al. Randomized Trial of Periodic Presumptive Treatment With High-Dose Intravaginal Metronidazole and Miconazole to Prevent Vaginal Infections in HIV-negative Women. J Infect Dis. 2015; 211(12): 1875-82. https://dx.doi.org/10.1093/infdis/ jiu818.

11. Торшин И.Ю., Аполихина И.А., Баранов И.И., Тапильская Н.И., Савичева А.М., Громова О.А. Эффективность и безопасность комбинации тинидазола и тиоконазола в лечении вагинальных инфекций. Акушерство и гинекология. 2020; 4: 214-22. https://dx.doi.org/10.18565/aig.2020.4.214-222.

12. Burtin P., Taddio A., Ariburnu O., Einarson T.R., Koren G. Safety of metronidazole in pregnancy: a meta-analysis. Am J Obstet Gynecol. 1995; 172 (2 Pt 1): 525-9. https://dx.doi.org/10.1016/0002-9378(95)90567-7.

13. Czeizel A.E., Rockenbauer M. A population based case-control teratologic study of oral metronidazole treatment during pregnancy. Br J Obstet Gynaecol. 1998; 105 (3): 322-7. https://dx.doi.org/10.1111/j.1471-0528.1998.tb10094.x.

14. Caro-Paton T., Carvajal A., de Diego I.M. Is metronidazole teratogenic? А meta-analysis. Br J Clin Pharmacol. 1997; 44 (2): 179-82. https://dx.doi.org/10.1046/ j.1365-2125.1997.00660.x.

15. Инструкция по применению лекарственного препарата для медицинского применения Нео-Пенотран Форте®. ЛСР-006559/09.

16. Инструкция по медицинскому применению препарата Гайномакс®. ЛП000007.

Об авторах / Для корреспонденции

Дегтярева Елена Ивановна, к.м.н., врач научно-поликлинического отделения, ФГБУ «НМИЦ АГП им. В.И. Кулакова» Минздрава России. Тел.: +7(495)438-06-74. E-mail: e_degtyareva@oparina4.ru. 117997, Россия, Москва, ул. Академика Опарина, д. 4.
Довлетханова Эльмира Робертовна, к.м.н., с.н.с. научно-поликлинического отделения, ФГБУ «НМИЦ АГП им. В.И. Кулакова» Минздрава России. Тел.: +7(495)438-69-34. E-mail: e_dovletkhanova@oparina4.ru. 117997, Россия, Москва, ул. Академика Опарина, д. 4.
Прилепская Вера Николаевна, д.м.н., профессор, зам. директора по науке, руководитель научно-поликлинического отделения, ФГБУ «НМИЦ АГП им. В.И. Кулакова» Минздрава России. Тел.: +7(495)438-69-34. E-mail: v_prilepskaya @oparina4.ru. 117997, Россия, Москва, ул. Академика Опарина, д. 4.
Абакарова Патимат Рапиевна, к.м.н., научный сотрудник научно-поликлинического отделения, ФГБУ «НМИЦ АГП им. В.И. Кулакова» Минздрава России. Тел.: +7(495)438-30-44. E-mail: p_abakarova@oparina4.ru. 117997, Россия, Москва, ул. Академика Опарина, д. 4.
Межевитинова Елена Анатольевна, д.м.н., в.н.с. научно-поликлинического отделения, ФГБУ «НМИЦ АГП им. В.И. Кулакова» Минздрава России. Тел.: +7(495)438-30-44. E-mail: e_mejevitinova@oparina4.ru. 117997, Россия, Москва, ул. Академика Опарина, д. 4.
Продолжая использовать наш сайт, вы даете согласие на обработку файлов cookie, которые обеспечивают правильную работу сайта.